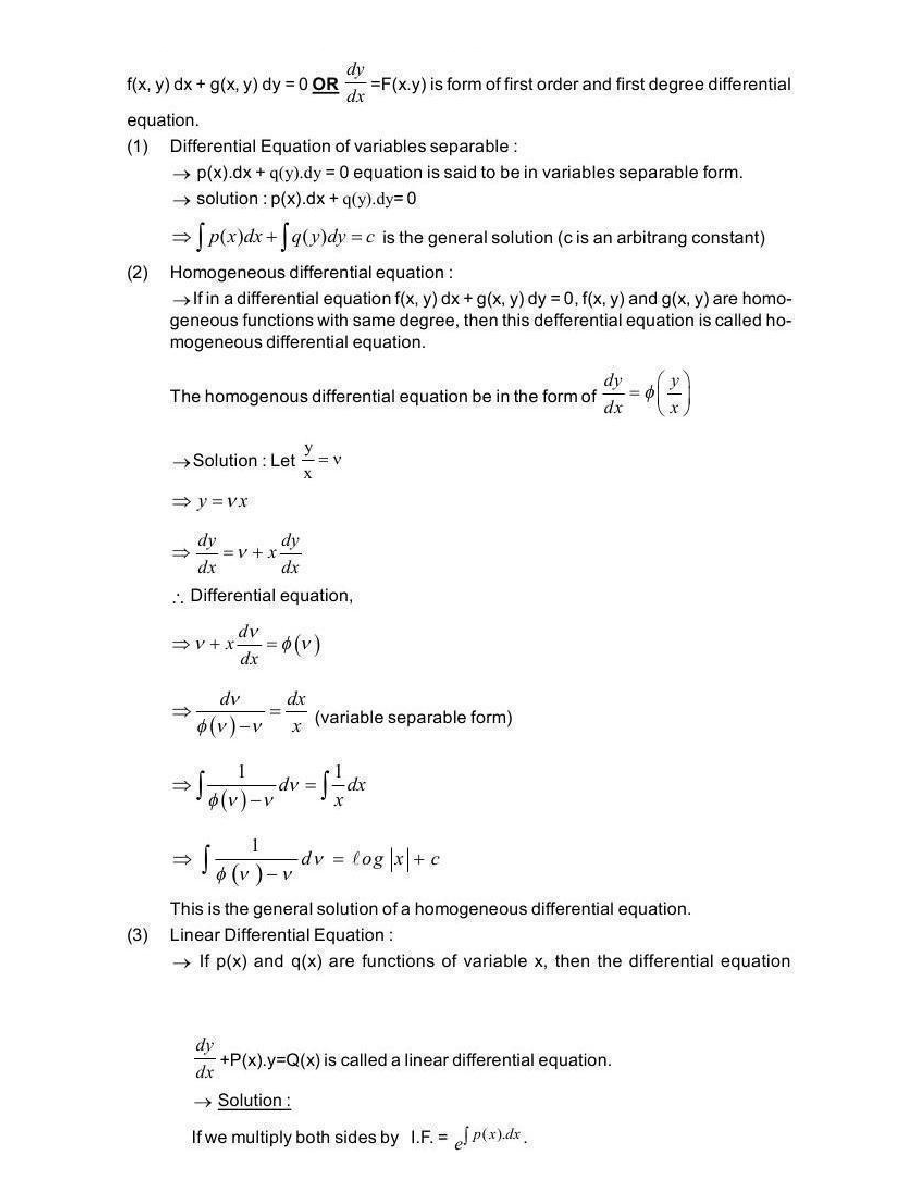
Differential Equation

Differential Equation

Sold ( 55 times )
6832 Views
MRP : ₹160.00
Price : ₹20.00
You will save : ₹140.00 after 88% Discount
Inclusive of all taxes
INSTANT delivery: Read it now on your device

Save extra with 2 Offers

Get ₹ 50

Instant Cashback on the purchase of ₹ 400 or above
SAVE05 Already Applied

Product Specifications

Publisher Faculty Notes All IIT JEE Advanced Mathematics books by Faculty Notes
Author: Panel Of Experts
Number of Pages 32
Available
Available in all digital devices