VTU Analog And Digital Electronics Question With Solution B.E. 3rd Semester Computer Science Engineering

VTU Analog And Digital Electronics Question With Solution B.E. 3rd Semester Computer Science Engineering

4407 Views
Price : ₹50.00
Inclusive of all taxes
INSTANT delivery: Read it now on your device

Save extra with 2 Offers

Get ₹ 50

Instant Cashback on the purchase of ₹ 400 or above
SAVE05 Already Applied

Product Specifications

Publisher Faculty Notes All Computer Science books by Faculty Notes
Author: Panel of Experts
Number of Pages 81
Available
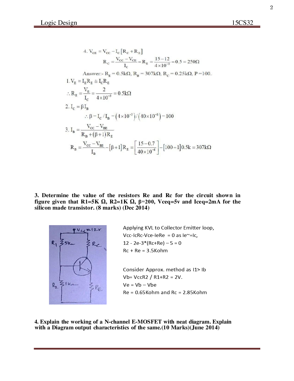
Available in all digital devices