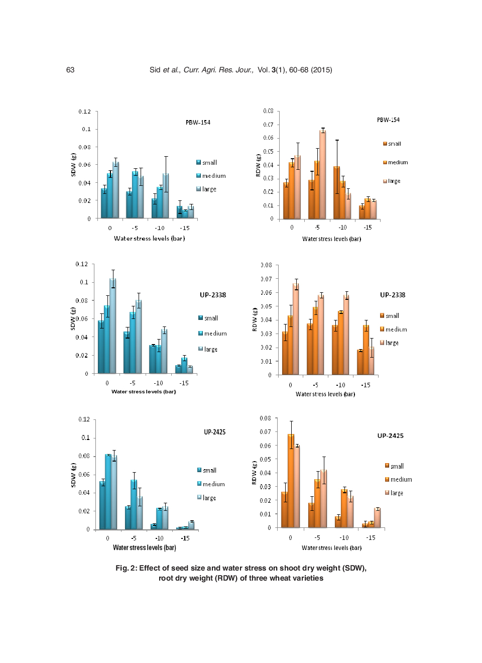
How Seed Size And Water Stress Effect The Seed Germination And Seedling Growth In Wheat Varieties?

How Seed Size And Water Stress Effect The Seed Germination And Seedling Growth In Wheat Varieties?

Sold ( 51 times )
1150 Views
Price : ₹0.00
Inclusive of all taxes
INSTANT delivery: Read it now on your device

Save extra with 2 Offers

Get ₹ 50

Instant Cashback on the purchase of ₹ 400 or above

Product Specifications

Publisher Journals & Research Papers All Seed Technology books by Journals & Research Papers
Author: Panel Of Experts
Number of Pages 10
Available
Available in all digital devices
  • Snapshot
  • About the book
  • Sample book
How Seed Size And Water Stress Effect The Seed Germination And Seedling Growth In Wheat Varieties? - Page 1 How Seed Size And Water Stress Effect The Seed Germination And Seedling Growth In Wheat Varieties? - Page 2 How Seed Size And Water Stress Effect The Seed Germination And Seedling Growth In Wheat Varieties? - Page 3 How Seed Size And Water Stress Effect The Seed Germination And Seedling Growth In Wheat Varieties? - Page 4 How Seed Size And Water Stress Effect The Seed Germination And Seedling Growth In Wheat Varieties? - Page 5

How Seed Size And Water Stress Effect The Seed Germination And Seedling Growth In Wheat Varieties? by Panel Of Experts