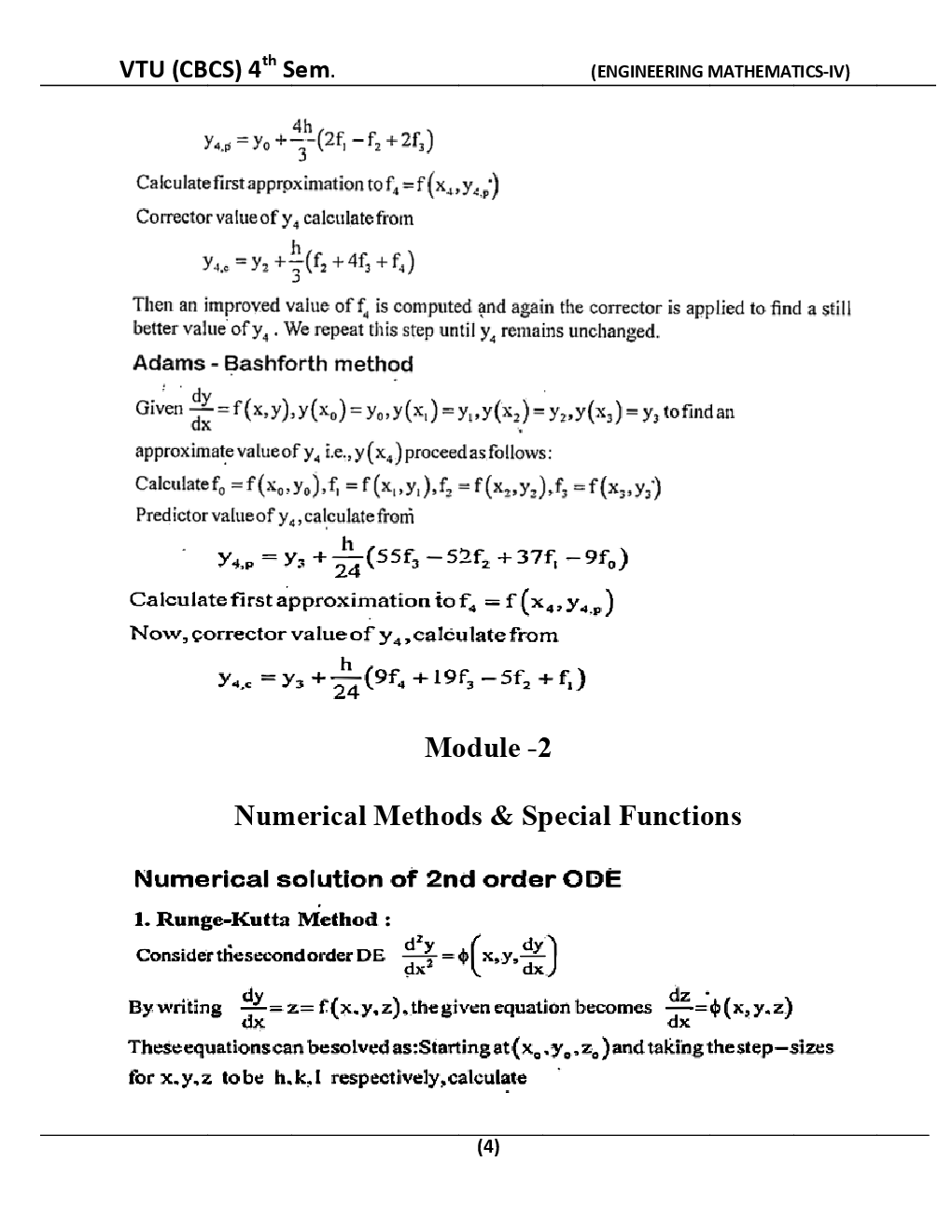
Engineering Mathematics-IV For VTU BE 4th Sem Electronic Communication Engineering

Engineering Mathematics-IV For VTU BE 4th Sem Electronic Communication Engineering

3052 Views
Price : ₹99.00
Inclusive of all taxes
INSTANT delivery: Read it now on your device

Save extra with 2 Offers

Get ₹ 50

Instant Cashback on the purchase of ₹ 400 or above
SAVE05 Already Applied

Product Specifications

Publisher Faculty Notes All Electronics and Telecom books by Faculty Notes
Author: Prepared By Top Faculties Of VTU
Number of Pages 171
Available
Available in all digital devices