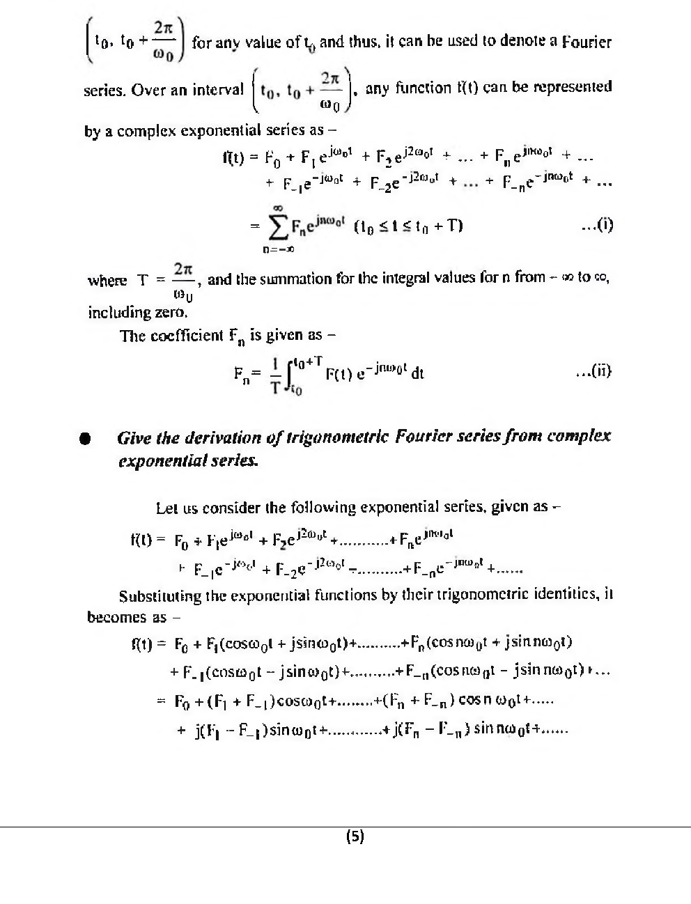
Communication Engineering For JECRC University B. Tech 6th Sem Electrical & Electronics Engineering

Communication Engineering For JECRC University B. Tech 6th Sem Electrical & Electronics Engineering

1798 Views
Price : ₹99.00
Inclusive of all taxes
INSTANT delivery: Read it now on your device

Save extra with 2 Offers

Get ₹ 50

Instant Cashback on the purchase of ₹ 400 or above
SAVE05 Already Applied

Product Specifications

Publisher Faculty Notes All Electronics and Telecom books by Faculty Notes
Author: Prepared By Top Faculties Of JECRC University
Number of Pages 293
Available
Available in all digital devices