GATE Previous Year Question Papers 2014-2018 With Answer Architecture and Planning

GATE Previous Year Question Papers 2014-2018 With Answer Architecture and Planning

3283 Views
Price : ₹50.00
Inclusive of all taxes
INSTANT delivery: Read it now on your device

Save extra with 2 Offers

Get ₹ 50

Instant Cashback on the purchase of ₹ 400 or above
SAVE05 Already Applied

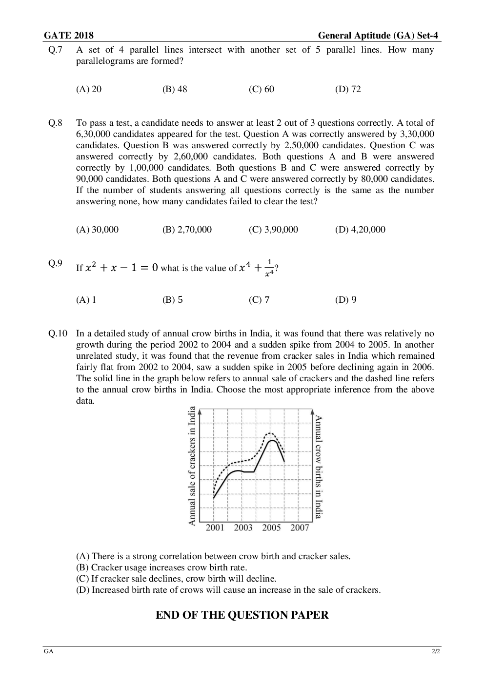
Product Specifications

Publisher Faculty Notes All GATE Architecture and Planning books by Faculty Notes
Author: Panel Of Expert
Number of Pages 94
Available
Available in all digital devices